
-
专利
-
商标
-
版权
-
商业秘密
-
反不正当竞争
-
植物新品种
-
地理标志
-
集成电路布图设计
-
技术合同
-
传统文化
律师动态
更多 >>知产速递
更多 >>审判动态
更多 >>案例聚焦
更多 >>法官视点
更多 >>裁判文书
更多 >>摘 要:近期反垄断在中国市场治理中上升到前所未有的地位,但学术界对反垄断科学监管的真实涵义尚缺乏研究。本文论述监管误差(即“假阳性”和“假阴性”误差) 社会成本的概念及其非完备可观测性,采用决策理论框架刻画误差成本极小化监管力度以进行理论拓展,并得到政策启示。最优决策的比较静态分析表明,反垄断科学监管力度具有如下性质: 最优监管力度在新业态领域、市场进入活跃的行业相对较低,而在金融行业相对较高; 对创新型行业的科学监管要求“慎之又慎”。本文还研究了中国“中央—地方”分散型反垄断监管体制,首次提出监管误差“跨区域社会成本”概念。博弈理论分析表明,一般情形下,分散型监管将导致全国统一市场中的次优监管; 设立“中国反垄断区域监管处”将有助于消除监管次优性。从法律设计角度考虑,《反垄断法》修法应明确阐明其福利标准,以消除法律实施14年来一直未受重视的判定标准模糊的制度性缺陷。
一、引言
中国经济发展进入新阶段,要求进一步强化市场机制在资源配置中的决定性作用,实现创新驱动发展,提升经济发展质量。反垄断法是市场经济健康发展的基本法律保障。2020年12月,中共中央政治局首次提出“强化反垄断和防止资本无序扩张”,《中华人民共和国反垄断法》(简称《反垄断法》) 的修订草案目前也正在全国人大审查,反垄断在中国经济治理中上升到前所未有的重要地位。2021年1月31日,中共中央办公厅、国务院办公厅公布了《建设高标准市场体系行动方案》(简称《行动方案》) ,其目标之一是在五年内建立高标准的现代市场监管机制,提高市场监管的科学性和有效性,包括提高作为市场监管重要组成部分的反垄断监管的科学性和有效性。在执法方面,2021年4月,阿里巴巴集团控股有限公司在网络零售平台服务市场中实施的“二选一”垄断行为被处罚182.28亿元。2021年10月,美团也因同样行为被处罚34.42亿元。这些执法行动标志着中国互联网领域反垄断监管进入新阶段。
何为反垄断“科学监管”? 反垄断科学监管应该怎样实现? 这是中国反垄断面临的首要问题和新的挑战。中国反垄断监管,特别是数字经济领域中的反垄断监管亟须改善。国家经济战略层面,如何在经济发展新阶段中有效发挥竞争政策基础性作用,如何以高标准的反垄断体系促进高标准市场体系的建立和发展,是中国经济学界亟须研究的重大问题。因此,从学理角度深入研究和理解反垄断科学监管的内涵和要求,对深刻和准确把握反垄断科学监管的精髓,科学、有效地设计中国经济新发展阶段的反垄断监管策略和实施路径,进一步推进中国经济学理论和政策研究具有战略性和现实性意义。
本文试图从决策理论角度探讨反垄断科学监管的内涵。本文认为,中国反垄断科学监管体系可以参照 Easterbrook(1984) 提出的“误差—成本”理论。根据该理论,反垄断监管应当以监管误差的社会成本最小化为科学目标,其中,监管误差包括第一类监管误差(或假阳性误差,即把正常的市场竞争行为界定为反竞争行为) 和第二类监管误差(或假阴性误差,即把反竞争行为界定为正常的市场竞争行为) ,监管误差的社会成本是指误差所导致的市场资源配置效率的损失。本文的贡献在于: ①深入讨论反垄断监管误差的特性及其社会成本概念的涵义,探讨反垄断监管误差的来源及其特有表现方式,强调监管误差和其社会成本的不完全可观测性,探讨该理论框架的核心假设在中国经济发展阶段的有条件适用性; ②将Easterbrook“误差—成本”理论用简单数学模型表述出来,并针对中国当前反垄断监管的热点问题,包括新兴行业、创新型行业、进入管制、金融行业等领域的科学监管问题,探讨中国反垄断面临的诸多政策困境,从而形成多个政策建议; ③运用“误差—成本”框架分析目前正在北京市高级人民法院审理的中国第一起涉案企业诉中央反垄断执法机构案,即葡萄糖酸钙原料药反垄断行政诉讼案(2021) ,并讨论本文有关反垄断科学监管的理论分析对该案中被告(国家市场监督管理总局) 、原告(涉案企业) 和法院三方的启示; ④建立一个简单的“两地区分散监管”博弈模型,分析地区监管机构“本地最优”决策行为,以及反垄断分散监管模式的“次优性”; ⑤探讨中国反垄断执法14年来尚未解决的反垄断竞争效果评估的福利标准问题,讨论反垄断与消费者权益?;ぶ涞母拘圆钜?#xff0c;以及二者与反垄断监管误差之间的关系。
中国学者对Easterbrook“误差—成本”理论的讨论尚不多。王晓晔(2021) 在分析中国对转售价格维持反垄断规制的文章中,引用了 Easterbrook 误差成本理论。王先林和方翔(2021) 在讨论平台领域反垄断监管的挑战与应对策略时强调,所谓“审慎监管”,是要避免从不监管、松监管的极端,走向严监管、过度监管的另一个极端。上述文献都采用了Easterbrook“误差—成本”理论的语言和概念,展示了中国学者对“何为反垄断科学监管”这一基础性问题的思考和所持有的观点。
依笔者所知,对反垄断科学监管真实涵义的系统性研究,在中国反垄断学术界尚属空白。本文基于“误差成本极小化”最优决策分析所得出的理论结果和政策启示,对中国目前反垄断“热点问题”的讨论有一定的参考价值,对构建中国反垄断科学监管理论体系具有一定的推动作用。
二、反垄断科学监管和监管误差
1. 反垄断监管的两个维度: 规则制定和执法
反垄断监管内涵可分为两个维度,即规则制定维度和执法维度,前者规定监管的对象和范围,后者代表实施已定规则的资源投入的规模和强度。中国《反垄断法》规定了反垄断监管的总体目标、监管对象(如垄断协议、滥用市场支配地位行为、经营者集中和行政垄断等) 和监管规则,包括违法行为的判定原则、法定责任和相应的法律程序等。该法订立了中国市场竞争中的“游戏规则”。之后出台的多个法律配套措施对《反垄断法》中的某些规定和某些领域进行了细化,提出了更加明确和详细的子规则,包括2021年出台的《平台经济领域反垄断指南》等?!斗绰⒍戏ā纷芴骞嬖蚝退邢喙氐姆ü娴募?#xff0c;对应上述反垄断监管的第一个维度,即规则制定。规则集合中子规则的数目和每一子规则的内容都是法律制定者选择和决策的结果,并可随时间的延增而变化。规则集合体现了包括监管对象、范围和监管方式在内的社会反垄断监管的整体规则。
在已定的规则体系下,社会赋予执法机构一定的资源和能力。执法机构可根据实际情况来实践各自的执法理念和原则,选择合适的执法策略和执法资源的投入水平,以及给定案件中法律和经济分析的程度和强度。例如,2018年中国执法机构的“三合一”机构调整和2019年初国家市场监督管理总局对地方执法机构的授权安排,均属于执法力度维度的重大调整。对互联网领域反垄断的“包容审慎”监管方式,则是反垄断监管策略的选定。在具体案例中,投入的执法资源和开展的法律和经济分析的程度反映了执法的专业水平和投入力度。
2. 监管误差类型及来源: 基于效果判定与理论“有限性”
任何法律体系的监管都会涉及所谓的第一类监管误差和第二类监管误差,在反垄断领域尤为如此。由于市场情形的多样性、复杂性和动态性,很难精确、全面地了解和确定经营者行为对市场竞争的影响,这给立法者、执法者和司法机构都带来了极大的挑战。
现代经济学中的一个分支——产业经济学,则专门研究企业在市场中各种竞争策略的诱因和效果。从理论层面,除了赤裸裸的卡特尔协议(包括固定价格、产品/销售配额、市场分割和竞标串谋) 之外,其他任何一种经营者行为,包括滥用市场支配地位和企业兼并,可能在某些条件下是反竞争的,但在另外一些条件下又是促进竞争或者是竞争中性的。例如,搭售行为可能会被支配企业用于将其在搭售产品市场中的市场力量传递到被搭售产品市场中去,即所谓的“传导效应”,可能是反竞争的,但是在某些条件下又有可能有利于提高和保障产品质量,从而促进竞争。再如,独家交易协议在一些情形下可能被用来阻止其他供应商进入市场,但是又具有防止竞争对手“搭便车”的作用。其他形式的支配地位企业行为,包括拒绝交易、差别待遇等,都可能同时具有反竞争效应和促进竞争效应。另外,同一种企业行为,可能在市场竞争的一个维度(如质量竞争或者推广服务方面)是促进竞争的,但在另一个维度(如价格竞争) 又同时具有反竞争效果。
与经济学的洞见一致,世界上所有法域的反垄断法对支配企业行为和经营者集中的合法性仅做出原则性规定。例如,中国的《反垄断法》第17条规定,对滥用市场支配地位行为进行判定和评估时,应当采用“合理推定”原则,而不能采用“一刀切”的本身违法原则或本身合法原则。这可能是《反垄断法》与其他法律的巨大区别之一,即法律对行为的合法性只能根据厂商行为给市场竞争带来的具体效果,而非仅仅根据行为本身来确定。因此,反垄断执法机构应当在行为证据之上进行效果分析,行为证据本身远不足以判定行为的合法性(赤裸裸的卡特尔协议行为除外) 。在法律实施过程中,执法机关或者原告应提供客观、准确和足够的事实证据和涉案行为反竞争效果的证据; 基于以上事实证据和分析证据(包括涉案经营者提供的抗辩理由) ,执法机构或司法机构对涉案行为是否具有排除、限制竞争效果做出认定或判定。
3. 监管误差社会成本及其非完备可观测性: 反垄断科学监管的基础性障碍
反垄断监管发生误差时,或对促进竞争的企业行为或竞争中性的行为加以禁止,或对排除、限制竞争行为不予监管。前者禁止了正常的行为,必定影响市场机制的有效运转,对消费者和社会整体资源配置带来损害; 后者则未能及时对反竞争行为进行制止和纠正,任其继续损害相关市场中的竞争,涉案企业获得非法超额利润,消费者剩余下降,同样也带来社会资源配置效率的损失。
需要强调的是,反垄断监管发生误差时未必总能被观测到。监管者未必一定意识到有或曾有误差出现,涉案经营者也许能觉察到有误差发生,而行业中其他经营者通常不知道有误差发生,他们观测到的只是涉案行为已经被调查和处罚,并很可能顺势理性、直接地推断被处罚的行为就是不合法的。以假阳性监管为例,假如反垄断监管机构处?;虺头A艘恢终5木赫形?#xff0c;而市场中众多经营者未能分辨其误差性时,市场中经营者会在合理推断后认为此种行为就是违法行为,进而认为此种行为在将来同样会被判定为违法,并受到相应禁止和处罚?;谡庵滞贫?#xff0c;市场中经营者大概率选择远离这种行为,从而避免也遭受处罚。因此,当发生第一类监管误差时,不仅涉案企业的正常行为会被禁止,造成其客户或者供应商的福利损失,其竞争性企业也会因规避相应的法律风险而放弃(本来正常的) 经营行为,导致更多的资源配置效率的损失。类似地,当第二类监管误差发生时,相关经营者的反竞争行为没有得到禁止和纠正,对相关市场内竞争带来损害,同市场中其他经营者也会错误地认为相关行为是合法的而大胆效仿,从而带来更大范围的效率损失。
再者,监管误差的社会成本并不仅局限在本相关市场之内,可能会导致相邻市场(如上下游市场) 中的竞争扭曲,从而带来间接的社会成本。例如,当上游原材料市场竞争发生扭曲时,其所带来的价格上涨会传递到下游客户乃至最终消费者产品市场中。反之亦然,下游市场中反垄断产生监管误差时,除了会导致该横向市场中竞争效率的下降外,也会通过对上游产品的需求减少等渠道给上游市场竞争效率带来负面影响。同样地,不同地域市场中也会存在监管误差社会成本的蔓延和溢出效应。
监管误差带来的上述直接和间接的社会资源配置效率的损失被统称为误差的社会成本,该效率损失可能是持续的,对应的是相关市场中整体效率显著和持久的损失。与监管误差的不完备可测性类似,观测和度量监管误差的社会成本也是非常困难的工作,甚至是不可能的。反垄断监管的一些直接效果比较容易观测到,如监管机构对涉案企业的救济措施、??罨蚺獬ソ鸲?#xff0c;以及金融市场价格变动等,但是由于信息不对称的原因,监管对企业的内部影响,如投资行为和研发行为的影响,并不容易为外界所观测到; 前述的监管误差可能带来的社会成本方面的连锁反应则更难被观测到。反垄断监管误差的社会成本具有非完全可观测性。
本文认为,因信息不对称和信息不完备所造成的反垄断监管误差及其社会成本的非完备可观测性,是理解和实现反垄断科学监管的基础性障碍。
4. 平台经济领域反垄断科学监管面临的新挑战
在数字经济与平台竞争领域,全球反垄断面临巨大挑战。数字经济新特征,如网络效应、多边市场、赢者通吃、跨界竞争等,给反垄断经济学和反垄断监管提出新的要求。理论发展的滞后不可避免地会导致反垄断监管误差的发生。2018年美国最高法院在运通信用卡案中的历史性判决,清晰地展示了平台经济领域中反垄断监管的难度。2010年10月,美国司法部和俄亥俄等17个州起诉运通(Amex) 、维萨和万事达公司,称其禁止转介条款(Anti-steering Clause) 违反了《谢尔曼法》(Sherman Act) 第1节。运通公司的这一转介条款禁止商户暗示对非运通卡(如维萨卡、万事达卡等) 的偏好,禁止劝阻客户使用运通卡,禁止劝说客户使用其他卡,禁止对运通卡的使用施加任何特殊限制、条件、障碍或费用。在初审中,美国联邦地区法院认定运通公司的禁止转介条款违反了《谢尔曼法》第1节。该判决认定,信用卡市场应被视作两个独立的市场,一个针对商户,另一个针对持卡人。地区法院在评估禁止转介条款对商户市场的效果后认为其阻碍了竞争,因为其导致商户手续费增高。联邦第二巡回上诉法院推翻了这一判决,认为信用卡市场应被整体界定为单一市场。具体地,法院将该市场中的产品定义为商户和持卡人完成的“交易”。上诉法院在对信用卡市场整体评估后认定禁止转介条款并没有阻碍竞争。2018年6月25日,美国最高法院就该案做出判决,9名法官以5∶4的微弱优势,认定运通公司与商户签署的信用卡服务协议中禁止转介条款不违反《谢尔曼法》。
可以从此案中得出三点启示: ①即便在反垄断历史最长、经验最丰富的美国,反垄断监管在当今发生误差也是常见的(美国最高法院和上诉法院推翻了地方法院起初的判决,至少说明起初判决和最终判决中至少其中之一是存在误差的。不少学者对美国最高法院5∶4的最终判决结果存有异议) 。②美国运通案反映出平台经济中反垄断监管面临的挑战。虽然信用卡市场不是数字经济中主流部分,但其双边市场和网络效应特征在数字经济(包括互联网和正在兴起的物联网经济) 中具有共性。该案中反映出来的难题是全球反垄断监管将面临的不可避免的挑战。③该案也又一次展示了经济学在反垄断监管中的作用。美国最高法院首次运用经济学中有关“双边市场”和“需求依赖性”的概念和理论,将信用卡商户和持卡人双方界定为同一个反垄断相关市场,即把信用卡网络界定为一个交易平台,供商户和持卡人“共同消费”,因此,平台一边的价格上涨不足以证明双边平台行使市场势力行为是反竞争的。
在此案中,美国最高法院明确采用了Evans and Schmalensee(2021) 这一在双边市场理论方面具有开创性贡献的成果。法院在其判决书中31次引用Evans的研究成果,17次引用 Schmalensee的研究成果,包括有关双边市场中网络效应、间接网络效应导致的需求依赖性,以及平台最优定价与各边需求弹性的关系等理论。从另一方面看,经济学理论的发展和应用的确会限制反垄断监管能力的边界。可以说,此案中地方法院的判决最终被推翻的主要原因,就是初审法庭没有准确运用有关双边市场的经济学理论。
三、反垄断科学监管真实涵义: 监管误差社会成本极小化
反垄断科学监管大致可理解为,监管应当依据法律规定和市场竞争的内在规律,科学评估相关经营者行为的竞争效果,然后给予法律定性,并对排除、限制竞争行为进行禁止和给予适当的处罚,或/和附加合理的救济措施,使市场竞争尽可能恢复到其应然状态。本文认为,中国反垄断监管的科学性内涵可用监管误差社会成本极小化的决策理论框架来描述。更具体地,中国反垄断监管的科学性目标应当是以监管误差所带来的社会成本极小化为政策目标。
1. Easterbrook的“误差—成本”理论
美国著名反垄断法官Easterbrook在1984年提出了反垄断监管“误差—成本”理论,其核心是,反托拉斯执法和司法应当以误差所带来的社会损失最小化为原则。该框架有三个基本假设: ①反垄断过程中的第一类监管误差和第二类监管误差是不可完全避免的,原因是法院在鉴别反竞争行为时很难将其与正当的竞争行为区分开来,因此总会出现评估和判定偏差。②第一类监管误差给社会带来的损害要大于第二类监管误差的损害,因为后者可由市场机制自身调节(如通过新的市场进入或者通过企业在其他维度的竞争) 来部分地弥补。③立法和执法部门的政策目标是使得两类误差所带来的社会成本极小化。
Easterbrook理论对美国反托拉斯影响深远,其思维框架已被美国法院接受并体现在许多重大案件的判决中。例如,在著名的Verizon对Trinko案(2004) 中,Scalia法官陈述到: 此案假阳性判决的成本超越了不成熟的法律责任的扩展,并强调错误的推断及其导致的错误处罚对社会带来的成本尤其高,因为其抑制的正是反托拉斯法本来要?;さ钠笠敌形T诶沸耘芯龅腖eegin案(2007) 中,美国最高法院扭转了以往超过半个世纪的、对零售价格维持行为本身违法的立场,法院直接引用Easterbrook(1984)相关思想: 法律规定可能会产生相反作用,因为它们可能会禁止反托拉斯法应该鼓励的企业行为,从而提高反托拉斯体系的整体成本。在2018年的American Express信用卡案中,美国最高法院也引用了Easterbrook的文章。毫无疑问,Easterbrook的误差成本极小化理论框架已经深深植根于美国反垄断体系。
2. Easterbrook理论核心假设不适用于中国
Easterbrook理论的第二点假设,即假阳性监管误差给社会带来的成本要大于假阴性误差带来的成本,是其理论框架的核心和洞见。这一假设的基础是,市场机制具有自我修复能力,反竞争行为带来的高价和超额利润会吸引新的竞争者进入市场,从而可减少监管误差带来的成本。
但是这一假阴性误差自我纠正机制的思路并不能机械地照搬到中国。美国市场经济体系可以说是世界上最发达、最成熟的体系,市场进入壁垒低,企业创新能力强盛,进入新市场能力强。所以,在美国市场体系下,监管的第二类误差带来的社会成本不能持久,反竞争行为导致的高价格高利润可以较容易地吸引新的进入者,从而削弱甚至抵消监管误差带来的效率的损失。相反,中国市场体系发达程度不高,不同行业进入壁垒差异很大,在某些行业进入壁垒很高,企业创新能力相对较弱,所以,市场自我纠正反竞争行为的能力尚低。
此外,中国的行政垄断现象也会影响市场对第二类监管误差纠正功能的有效发挥。中国《反垄断法》第5章禁止6 种“滥用行政权力排除、限制竞争”的行为,其核心是为了打破妨碍商品在地区间和行业间自由流通的行政障碍。为了进一步清除行政垄断现象,中国在2016年制定和出台了“公平竞争审查”制度,在全国范围内拉网式清查和纠正妨碍建立全国统一市场的行政法规,但是一些地方仍然存在歧视性市场准入限制和市场壁垒。中国的行政垄断现象严重限制了新竞争者进入市场。
据此,本文认为,Easterbrook基于发达市场经济体系提出的市场对反第二类误差的自我修复机制,在中国现阶段并不能有效发挥。中国反垄断监管不能放松对两类误差中任何一类误差的防止。
近期伴随着国际上对高科技行业的反垄断监管力度不断提升,一些国外学者也开始对Easterbrook的理论框架进行反思。例如,Hovenkamp(2021) 指出,Easterbrook理论中假阳性误差的社会成本大于假阴性误差社会成本的假设未必成立,法院应当避免这一假设带来的“反托拉斯偏差”。
四、中国反垄断科学监管策略分析: 对 Easterbrook 理论框架的扩展
Easterbrook的理论建立在美国成熟的市场机制基础之上。尽管国情不同,本文仍然可以借鉴该框架来探讨中国反垄断监管理念和科学监管体制的设计和实施问题。下面的讨论并不依赖于Easterbrook理论中的第二项假设。
本文用具体的数学表达式描述Easterbrook的理论框架,并将其用来分析几个重要领域的反垄断科学监管问题。具体地,这里将监管力度为 e 时所对应的监管误差社会总成本(即监管机构对企业行为误判而对市场竞争带来的效率损失) 表述如下:
TC(e) = H1 (e) + H2 (e) + C(e) (1)
其中,H1 (e) 表示执法者错误地禁止了没有违法的企业行为,从而打击正常的市场竞争行为,带来社会福利的下降,H2 (e) 代表对排除限制竞争的企业行为没有进行调查或者误判为正常竞争行为对市场竞争和社会总福利带来的负面影响。两个社会成本函数衡量的是监管误差对应的社会成本期望值,包含了误差发生的概率。表达式中最后一项 C(e) 代表监管成本,包括监管资源的投入等。
上述模型可用图1来表示。监管力度 e 的取值在 0 和 1 之间。e = 0 对应的是不作为即无监管时的情形,e = 1 对应的是对所有经营者行为“一刀切”全部禁止的另一极端情形。随监管力度 e 上升而上升(下降) 的曲线代表第一(二) 类监管误差的社会成本,位处两条成本曲线之上的 U 型曲线代表监管的社会总成本函数。如图所示,社会最优监管力度 e* 是使得监管总成本最小的水平。
很显然,当 e = 0 时,监管不会出现第一类误差,但出现第二类误差的可能性和社会成本最高。因此,H1 (0) = 0 < H2 (0) 。随着监管力度的增加,监管范围越大,“错杀无辜”的概率也就越高,因此,H1 (e) 是增函数。相反,第二类监管误差社会成本 H2 (e) 是监管力度 e 的减函数。监管力度为 0时,放走反竞争行为的概率最大(等于 1) ,随着监管力度的提升,第二类监管误差发生的概率随之下降。但监管力度达到最高限度(e = 1) 时,第二类监管误差社会成本达到最小值。两类误差成本之和是 e 的 U 型函数,其中,e* 表示社会总成本的最低点。即 e* 对应的是误差成本极小化问题的解(图中情形假设 C = 0) 。最优监管力度水平 e* 必须满足的一阶条件是:
H'1(e) + H'2(e) + C' (e) = 0? (2)
即监管资源投入的边际成本等于监管力度增量所带来的监管误差的下降。从另一角度解释,这一最优化条件要求监管者在选择监管力度时,要科学地平衡第一类监管误差的社会成本和第二类监管误差的社会成本。忽略监管成本C的变化,社会最优监管力度水平 e* 要求,第一类监管误差成本的边际增量正好等于第二类监管误差社会成本的边际减少量。
上述社会成本极小化的二阶条件为:
H1″ ( e* ) + H″2( e* ) + C″( e* ) > 0? ?(3)
为了下面分析的简便,这里进一步假设,两类监管误差社会成本分别为:
H1 (e) = b1 L1 (e) ,H2 (e) = b2 L2 (e) (4)
其中,b1>0 和 b2>0 分别是描述第一类和第二类误差成本的参数,参数值的变化可能是由于相应的监管误差发生的概率发生变化,或者是误差发生时社会成本函数发生变化。对不同的行业或不同的经济发展阶段,两个参数的取值一般是不同的。
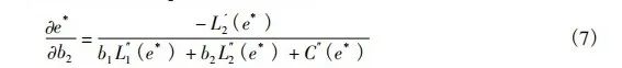
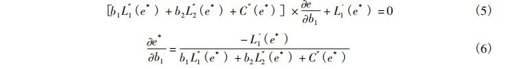
给定参数 b1 和 b2,监管误差社会成本极小化问题的最优解是这两个参数的函数,用 e* ( b1,b2 )表示。当一个参数值变化( 如对应不同行业) 时,相应的最优监管力度水平随之变化。对一阶条件,即 b1 L'1( e* ) + b2 L'2( e* ) + C' ( e* ) = 0,两边求参数 b1 的偏导数,得到:
注意到第一类误差社会成本函数是 e 的增函数,上面表达式的分子为负。同时,根据最优化问题的二阶条件,上面表达式分母为正,因此得到?e*/?b1< 0,即最优监管力度是 b1 的减函数: 第一类监管误差的社会成本越高,最优监管力度就越低。
类似地,一阶条件等式两边同时对参数 b2 求偏导数,得到:
因为第二类监管误差成本是 e 的减函数,故上面表达式中的分子项为正。最优化问题二阶条件显示,表达式分母也为正,因此得到?e*/?b2>0,即最优监管力度是 b2 的增函数: 第二类监管误差的社会成本越高,最优监管力度就越低。据此,本文提出:
结论1: 反垄断监管成本极小化的最优监管水平 e* 随 b1 的上升而下降,随 b2 的上升而上升。
上述结论可以为分析目前中国几个反垄断热点问题带来有价值的启示。
1. 新兴行业“谨慎包容”监管的理论基础
新业态具有以下特征: 新兴行业发展初期,市场空间不断扩大,竞争者数量尚少,竞争相对不充分,利润空间大,因此,一般来讲,反竞争行为集合较小( 达成“抱团取暖”卡特尔协议的必要性较低、市场支配地位尚无或者尚不稳定等) 。这意味着,在这些领域中第二类监管误差的可能性及其社会福利损失较少,对应着参数 b2 取值较低的情形。根据结论1,最优监管力度 e* 较低。这一静态比较分析结果,对应学术界、执法界常说的“包容审慎”执法策略,即不必担心第二类监管误差。
同时,在新业态领域,第一类监管误差的社会成本会相对较高; 错误扼杀正常的竞争行为在行业发展初期带来的成本相对更高。这对应参数 b1 取值较高的情形。另外,在新兴行业发展初期,反垄断理论(经济学和法学) 对平台经济的技术、商业模式和竞争方式尚未深入了解,因此,基于理论的监管导致第一类监管误差发生的概率相对非常高。这也对应着模型中 b1 高值的情形。根据结论1,新兴行业的最优监管力度 e* 也相应较低。
总之,在新兴行业发展初期,L2 损失较低(b2 较小) ,L1 损失较大( b1 较大) 。在这种情形下,最优监管力度决策问题基本上是防止第一类监管误差。相应地,最优监管力度 e* 的值较低。
2021年1月31日公布的《行动方案》专门设立了针对新兴行业市场监管原则,指出: “健全对新业态的包容审慎监管制度。按照鼓励创新、平等?;ぴ?#xff0c;对新技术、新产业、新业态、新模式等实行包容审慎监管,分类实行相应的监管规则和标准,加强和规范事中事后监管,不得简单化予以禁止或者不予监管。”
因此,上述基于误差成本极小化的分析结果与《行动方案》中提倡的“包容审慎”的原则是相一致的?;痪浠八?#xff0c;本文决策分析的理论结果可视为《行动方案》中提出的对新兴行业的监管原则的理论基础。
但是,随着行业的发展,在位优胜经营者的市场份额逐步上升,支配地位企业可能出现,再加上市场基本饱和,市场竞争愈加激烈情形下,新企业再进入的可获利性降低,进入速度和规模相应下降。这导致第二类监管误差社会成本上升,整个 L2 曲线上移,b2 参数值上升,最佳监管力度 e* 也会随之上升?;痪浠八?#xff0c;“谨慎包容”策略要有时效性。
2. 创新型行业的最优监管力度分析
创新活动是高质量经济发展必需,是打破关键技术“卡脖子”困境必需,是中国中长期社会经济发展的关键。创新活动本来就面临市场失灵的抑制。创新者承担所有成本和风险,即便成功后,回报也低于其创新活动对社会创造的价值,因为创新活动除了给企业本身带来好处外,同时使得消费者分享其创新成果,创新的溢出效应也会有利于市场中其他参与者后续研发活动。因此,理论上,创新者事前的利润最大化研发投入水平低于社会最优水平。
假如反垄断监管误伤了企业科技创新的积极性,对社会所需要的科技研发活动又多了一层打击,使得市场创新活动受到更多的抑制。因此,与技术水平相对稳定的行业相比,反垄断监管第一类误差的社会成本在创新型行业比较高。这可用上述模型中参数 b1 值的上升来描述。根据结论1,b1 的上升对应最优监管力度 e* 的下降。但与此同时,在创新型行业中,反竞争行为可能影响创新,如滥用支配地位行为可能阻碍市场中其他经营者的创新活动,甚至扼杀初创企业的颠覆性创新,经营者集中在创新维度的单边效应会降低集中企业的研发投资水平。假如执法机关不能对此类反竞争行为进行及时的监管,创新活动会受到影响,技术进步的步伐将会减缓,导致市场动态效率的下降。
总之,对创新型行业,监管者必须充分重视监管误差社会成本的动态性和不确定性,尽可能避免误差的发生。相对于技术发展相对稳定的行业,创新型行业中的反垄断科学监管面临的挑战更大。
3. 不同进入障碍程度行业的反垄断最优监管力度分析
如前所述,Easterbrook理论的核心假设是反垄断监管的第二类误差的社会成本低于第一类误差的社会成本。其洞见是,市场中的反竞争行为具有“自我毁灭”特性,即暂时的垄断利润必定吸引新的竞争者进入市场,而新增加的竞争能够抵消监管假阴性误差带来的社会成本。
然而,在市场进入管制程度较高的行业,如交通运输(包括网约车服务) 、金融、公共服务等领域,市场机制对监管的第二类误差社会成本的自我纠正能力则比较弱,尤其是在中国市场发达程度尚低的情形下更是如此。这对应参数 b2 较大的情形。根据结论1,b2 增大时,最优监管力度 e* 则应较大。相反,在市场进入管制较松、进入壁垒较低的行业中,第二类监管误差的社会成本较低,对应较低的 b2 参数值,最优监管力度则较低。
在实际中,行业壁垒也许不太容易被直接观察到,但实际成功的市场进入则很容易被观测到,尤其是快速成长的较大的“独角兽”企业。从上述讨论可以看出,反垄断监管机构可采用的一个简单的决策办法是,对近期(如 2、3 年之内) 涌现出多个能够与在位经营者竞争的新进入者的行业,反垄断监管力度可以适当减小; 相反,如果一个行业中在较长一段时期内没有出现过成功的新的竞争者,那么,监管机构应考虑强化对这一行业的反垄断监管,提高其监管力度。这一“拇指规则”或“经验法则”看似简易,但却基于“误差—成本”极小化的决策理论作为科学支撑。
4. 防止金融领域系统性风险
2020年12月11日中共中央政治局会议和18日中央经济工作会议同时指出,要强化反垄断和防止资本无序扩张。国家层面首次强调金融领域反垄断,并将反垄断与防止资本扩张联系起来,特别是平台经济领域中的金融服务,如网上P2P信贷、网上支付等。
事实上,即便在传统经济条件下,反垄断和竞争政策在银行服务市场中也具有一种特殊性。与其他行业不同,在银行服务市场中并非竞争越多越好。这是因为,竞争加剧带来的压力可能会迫使银行将存款资金投资于风险过高的项目,从而降低整个银行体系的稳定性,导致所谓的“系统性风险”。因此,国际上发达国家的银行监管体制的设计和实施都特别关注银行的资产风险程度和市场竞争过度的问题。国际学术界对此有长期深入的研究,如Allen and Gale(2000) 博弈论理论和Vives(2016) 的研究都表明这一点。
平台经济的快速发展和金融科技的应用,一方面促进了相关金融服务领域内的竞争,另一方面可能会提升系统性风险。根据本文上面“误差—成本”极小化分析框架,这意味着,金融行业竞争的提高可能带来的社会成本要高于其他行业; 由于系统性风险原因,?;ぞ赫募壑翟诮鹑谛幸祷嵯喽韵陆怠;痪浠八?#xff0c;金融市场中假阳性监管误差给社会带来的成本,可以用系统稳定性的提升而得到部分“抵消”。因此,可用上面模型中第一类监管误差社会成本参数 b1 的下降来描述这一性质。根据上面结果1,反垄断监管最优力度 e* 随 b1 的下降而上升,由此可知,金融领域反垄断科学监管力度应该相对高。这一理论结果,可以视为支持中国当前强化金融领域反垄断监管的决策理论基础。
五、葡萄糖酸钙原料药反垄断行政诉讼案: “误差—成本”理论框架视角
下面将运用前述反垄断监管“误差—成本”极小化的决策理论框架,分析目前正在法院审理的中国第一起涉案企业起诉国家执法机构的行政诉讼案,即葡萄糖酸钙原料药反垄断行政诉讼案(2021) 。
2020年4月,山东康惠医药有限公司( 简称“康惠公司”) 、潍坊普云惠医药有限公司( 简称“普云惠公司”) 和潍坊太阳神医药有限公司( 简称“太阳神公司”) 被国家市场监督管理总局认定违反中国《反垄断法》,共计被罚没收3. 255亿元。三家企业除了被没收违法所得外,分别被处以上一年销售额10%、9%和7%的???#xff0c;其中,10%??盍Χ仁恰斗绰⒍戏ā分泄娑ǖ淖罡呦薅?#xff0c;9%和10%的实际??盍Χ仍谥泄?4年反垄断执法历史上尚属首次。这笔罚单也创下了原料药领域反垄断行政处罚罚没金额的最高纪录。因不服上述处罚决定,康惠和普云惠两家公司分别于2020年6月和7月向北京某中级人民法院提起行政诉讼。2020年12月15日和2021年11月22日,北京某中级人民法院和北京市高级人民法院分别开庭审理此案。因当事人不服国家市场监督管理总局反垄断处罚,中央反垄断执法机构因此成为行政诉讼案的被告,在中国尚属首次。
在该案中,国家市场监督管理总局认为,2015年8月至2017年12月,康惠公司、普云惠公司和太阳神公司滥用在中国注射用葡萄糖酸钙原料药销售市场上的支配地位,实施了以不公平的高价销售商品、附加不合理交易条件的垄断行为,排除、限制了市场竞争,损害了患者利益,违反了《反垄断法》第17条第1款第1项、第5项的规定。该案当事人的行为情节严重、性质恶劣,国家市场监督管理总局决定对其做出从重处罚。
由于该案尚在审理中,相关详细信息尚未披露。有媒体报道,该案争议焦点包括三家企业是否构成由康惠公司掌控的“共同体”,反垄断执法机构关于相关市场的界定、对市场份额的统计判断是否准确,违法所得和处罚金额是否过重等。该案涉案企业认为,执法机构在该案执法中存在监管误差,而执法机构则持相反意见。谁是谁非,不久将会由法院来判定。
如本文前述,反垄断科学监管面临的主要挑战是科学判定涉案行为对市场竞争是否带来损害,以及损害的程度。由于理论的“局限性”、监管误差和相应的社会成本的非完全可观测性,科学监管要求在第一类监管误差成本和第二类监管误差成本之间实现最优平衡。本文中讨论的“误差—成本”分析框架,可对上述案件各方,包括作为被告的执法机构、原告涉案企业、最终需要对此行政诉讼案进行裁决的北京市高级人民法院,分别有下面几点启示。
(1) 中国原材料药行业市场进入壁垒高,这一特点将有利于国家市场监督管理总局在该诉讼案中的抗辩。具体地,根据国家发展和改革委员会原价格监督检查与反垄断局调查报告,2018年中国1500种化学原料药中,50种原料药只有一家企业取得审批资格可以生产,44种原料药只有两家企业可以生产,40种原料药只有三家企业可以生产。而考虑到污染压力大、盈利空间小,真正生产的药厂数量可能更少??杉?#xff0c;中国药品行业严格的行政审批制度,导致原材料药上游市场竞争者数目小,构成较高的市场进入壁垒(国家市场监督管理总局,2018) 。
根据本文结论1,在进入壁垒较高的情形下,由于市场进入对垄断高价制约能力的缺失,反垄断监管的第二类监管误差的社会成本则比较高。因此,在平衡两类监管误差的社会成本时,反垄断最优监管应该更加注重防范第二类监管误差(即防止“漏判”) 的发生,即监管力度( e* ) 应相对较高。从这一角度看,国家市场监督管理总局对该案给予严格的判罚,与本文中反垄断科学监管的决策理论分析结论是相符的。
(2) 更多的经济学分析会进一步支撑国家市场监督管理总局在该案中的判罚力度。针对涉案行为的效果,国家市场监督管理总局在《中国反垄断年度执法报告(2020) 》中指出,在葡萄糖酸钙原料药垄断案中,对当事人处以3. 255亿元的处罚,具有威慑作用,在一定程度上遏制了原料药领域的垄断行为。查处后,葡萄糖酸钙注射液的原料供应和生产成本均恢复正常。通过与国家医疗保障局的政策联动,在葡萄糖酸钙注射液招标采购工作中采取有效措施,使葡萄糖酸钙注射液的招采价格降幅达40% ,维护了患者利益,减轻了国家医保负担。
上面的价格下降幅度可以作为针对涉案企业行为第二类监管误差社会成本的证据,即涉案行为未被制止前,消费者付出了超额价格和有较大福利损失。在北京市高级人民法院后续的审理过程中,若国家市场监督管理总局的经济学团队在此价格变动的基础上,在数据可得情形下,同时考虑葡萄糖酸钙注射液整体销售量的变化,进而推算更加具体、全面的有关消费者福利损害程度,并与该案中违法所得和处罚金额明确地联系起来,将是对执法机构执法力度合理性的进一步证据支持。
(3) “误差—成本”分析框架也可对涉案企业提供重要的思路。根据媒体报道,原告认为,国家市场监管管理总局对该案相关市场的界定存在误差。国家市场监督管理总局在其行政处罚书中指出,葡萄糖酸钙原料药分为注射用和口服用两个等级,分别用于生产葡萄糖酸钙注射液、葡萄糖酸钙口服液(或片剂) 。该案相关商品市场为注射用葡萄糖酸钙原料药销售市场,理由是: 注射用葡萄糖酸钙原料药与口服用葡萄糖酸钙原料药不具有较为紧密的替代关系,分属不同的相关市场。处罚书中未包含更多的需求替代分析信息。
如果原告能提出有力的注射用和口服用葡萄糖酸钙原料药之间具有较为紧密替代关系的证据,例如,证明注射用葡萄糖酸钙原料药价格上升5%时,有足够的注射用葡萄糖酸钙药品制造商转而去购买口服用葡萄糖酸钙原料药,使得注射用葡萄糖酸钙原料药厂商的利润下降( 即所谓的SSNIP方法) ,那么,两种葡萄糖酸钙原材料则具有较为紧密的需求替代关系,该案中的相关市场就应该包括口服葡萄糖酸钙原料药。
对于该案中相关市场界定这一关键点,北京市高级人民法院可以考虑借助“误差—成本”极小化的决策理论框架,科学平衡该案中相关市场界定的两类监管误差的社会成本,即将口服葡萄糖酸钙原料药排除在相关市场之外的潜在第一类监管误差所带来的社会成本与将口服原料药包含在相关市场之内的潜在第二类误差所带来的社会成本进行平衡,即满足前述最优监管力度的一阶必要条件(式(2)) 。然而,对两类误差社会成本内涵的界定和估算都离不开详细的经济学分析。这对该案法院将是一大挑战。
综上所述,葡萄糖酸钙原料药反垄断行政诉讼案是中国反垄断史上第一个国家反垄断执法机构被告上法庭的案例,法院的判定思路和结果将对中国反垄断执法和司法产生巨大和深远的影响。本文希望,在该案接下来的审理中,被告和原告双方,特别是法院,将对该案进行科学优化评估,以实现反垄断科学监管,本文的“误差—成本”决策理论框架可作为重要参考。
六、中央—地方两级执法体系下的“次优监管”问题
2018年底,国家市场监督管理总局决定将其部分反垄断监管法定权力授权给全国各省、自治区和直辖市市场监管部门,以部分舒缓中央监管部门执法人员严重不足的压力。授权的反垄断执法业务包括区域性垄断协议行为、区域性滥用市场支配地位和区域性行政垄断行为的监管,国家市场监管总局负责反垄断统一执法,直接管辖跨区域的垄断协议、滥用市场支配地位和滥用行政权力排除限制竞争案件,以及案情较为复杂或者在全国有重大影响的垄断协议、滥用市场支配地位和滥用行政权力排除限制竞争案件。
自授权之后,中国许多省份(尤其是东部和南部沿海地区) 的反垄断执法工作取得显著成果。但是也有一些迹象表明,中国地方执法机构之间存在相互竞争、相互攀比的情况。另外,地方的反垄断执法机构行政层级较低,对地方纳税大户企业执法时?;崾艿降胤搅斓嫉慕隙喔稍?#xff0c;尤其是垄断收益在本地,社会福利损失在外地,地方更缺少执法动机。下面对Easterbrook“误差—成本”理论做出第二个方面的拓展,即采用监管误差成本极小化模型,研究中国2019年开始的反垄断地方授权机制及其监管科学和有效性。分析表明,这一“中央—地方两级执法机制”常?;岬贾隆肮燃喙堋被蛘摺凹喙懿蛔恪钡拇斡畔窒?。
两区域分散监管模型。假设整个经济体包括A和B两个行政区,各自都有反垄断监管机构,分别负责完成国家法律赋予的本地区反垄断监管职责。这里用函数 Ha ( ea ) 和 Hb ( eb ) 分别代表两地区反垄断监管发生误差时该地区社会福利的损失,即该地区监管误差的社会成本。这里假设各地区的监管成本都为零。
地区A和地区B的监管机构各自在其授权范围内选择最优监管策略。具体地,地区A选择其最优监管力度 ea 使其本地误差社会成本 Ha 最小化。同样地,地区B选择其最优监管力度 eb 使得其本地监管误差社会成本函数 Hb 最小化。相应的两个最优化一阶条件为:
H'a( eNa ) = 0,H'b( eNb ) = 0 (8)
从博弈论角度看,满足上述两个条件的{ eNa ,eNb } 是“两区域分散监管模型”的纳什均衡解。
但是在互相融合的全国市场内,地区间的市场活动是相互连接的。一个地区监管出现误差,对市场运转和资源配置带来的损失,不只限于该地区。这里用 hb ( ea ) 来代表地区A监管误差对地区B带来的社会成本,即地区B社会福利的下降; 同样地,用 ha ( eb ) 来代表地区B监管误差给地区带来的社会成本。二者可统称为地方分散监管误差的“跨区域社会成本”。
例如,在地区间的经济活动是互补的情形下,一个地区市场竞争受到负面影响时,对该地区的贸易伙伴地区也会有相应的影响。中国跨省市区域,如长三角中不同省份之间就具有较强的互补性。在模型里,假如地区A的经济活动是上游市场,地区B的经济活动是下游市场。如果地区A反垄断监管出现误差( 无论是第一类误差还是第二类误差) ,该地区市场中竞争将受到影响,导致原材料上游市场价格上升。上游市场中竞争程度下降,将影响地区B下游市场中的客户和需求者,他们的选择会变少,原材料价格会上升,从而导致该地区社会总福利的下降。类似地,假如地区B反垄断监管出现了误差,导致其市场规模缩小,产品价格上升,销售量下降。这意味着,地区B市场对地处地区A的上游市场生产的原材料产品或者服务的需求下降,将导致地区A社会总福利水平下降。
因此,两个地区执法力度( ea,eb ) 给全国带来的社会总成本为:
TC = Ha ( ea ) + hb ( ea ) + Hb ( eb ) + ha ( eb )? (9)
即“分散监管”对应的监管误差社会成本不仅包括各地区监管误差给本地区市场资源配置带来的效率损失,同时必须包括各地区监管误差的“跨区域社会成本”。从全国整体福利出发,最优的两地区监管力度组合,这里记为{ e*a ,e*b } ,必须满足下列两个一阶条件:
H'a( e*a ) + h'b( e*a ) = 0,H'b( e*b ) + h'a( e*b ) = 0 (10)
上述条件要求,每个地区的最优监管力度不仅要平衡该地区的监管误差社会成本,还必须考虑到其“跨区域社会成本”。
如果 h'b( e*a ) > 0 和 h'a( e*b ) > 0,那么,根据上面两个最优化条件,这里得到 H'a( e*a ) < 0 和H'b( e*b ) < 0。再根据 H'a和 H'b都是监管力度的增函数的性质和前面两地区分散监管下的纳什均衡条件,进一步得到:
e*a < eNa ,e*b < eNb? (11)
即地区A和地区B各自从局部考虑的最优监管力度大于全国整体利益下对应的最优执法力度?;痪浠八?#xff0c;分散型地区监管模式,在一定条件下会导致“过度监管”。类似地,如果 h'b( e*a ) < 0和 h'a( e*b ) < 0,分散型地区监管模式会导致“监管不足”。由此得到:
结论2: 当地区监管力度导致其“跨区域社会成本”提高时,分散型监管体制将导致“过度监管”,即 e*a < eNa 和 e*b < eNb 。当地区监管力度导致其“跨区域社会成本”下降时,分散型监管体制将导致“监管不足”,即 e*a > eNa 和 e*b > eNb 。
这一理论结果直观上的解释是: 每一个地区在各自区域范围内选择误差成本极小化监管策略时,考虑的只是误差对该地区资源配置造成的社会成本最小化,而没有顾及此类误差的“跨区域成本”。用经济学语言来说,每一个地区在自己最优化平衡中忽视了其行为对另一地区产生的“负外部性”,从而导致过度监管。如果 h'b( e*a ) >0 和 h'a( e*b ) >0,地区监管误差的“边际外部性效果”是正的(地区监管力度提高所带来的监管误差的变化导致其本地区监管误差给其他区域带来的社会成本上升) ,则会有地方过度监管; 如果上述导数都是负的(地区监管力度提高所带来的监管误差的变化导致其本地区监管误差给其他区域带来的社会成本下降) ,则会出现地方监管不足。
上面理论结果表示,即便各个地方反垄断执法机构理性地、专业地开展国家所赋予的监管工作,并以本地区监管误差社会成本最小化的专业标准为工作目标,在一定条件下,其最优监管策略从全国整体角度讲,是过度监管或监管不足,即地区间分散监管博弈中的纳什均衡偏离了全国整体监管误差社会成本极小化的水平。
在中国现有的反垄断分级监管体制下,地方反垄断监管机构往往还可能受到其他因素的干扰。例如,地方执法人员可能受到地方政府的某些压力,不能很好地从维护全国统一市场的角度来实现执法目标。再有,地方执法机构之间也许会存在相互竞争的考量,就像中国反垄断法执法前10年中3家执法机构( 国家发展和改革委员会、商务部、原国家工商总局) 共存时的情形。
中央反垄断机构在2019年推出“中央—地方”两级执法体系时,主要考量的是全国反垄断执法力量不足,即为了克服监管不足的问题。但执法力量不足与执法力度不足是两个不同的概念,前者是指能力,后者是指激励或动力。前文分析表明,从决策理论视角看,这一地方分散执法模式具有内在的“过度监管”或者“监管不足”的可能性。当然,在某些条件下,地方执法人员可能较中央执法机构更加了解区域市场和行业的具体情况,从而使分散执法模式具有某种信息优势。但是,这一信息优势也可反映在下面所述的中央执法机构进驻地方的制度安排中。另外,反垄断执法与其他领域的监管和激励设计不同,执法人员与企业保持一定的距离,可能更有利于科学和独立执法。
对过度监管或监管不足现象的一个应对方式,是国家监管部门可以在重要地区设立“中央监管机构区域监管处”,以进驻地方的“中央监管机构”来代替现有的“地方性监管机构”。尽管国家执法机构进驻每一个区域的办公地点设在地方区域,但其政策目标函数将变成全局性的,使监管误差本地社会成本与其跨区域社会成本之和的最小化,从而能够避免地方分散执法带来的“次优性”。
减少或避免地方执法机构监管次优现象的另一种安排,是鼓励或者要求地方监管机构把其监管工作重点主要放在执法误差概率较低的执法领域查处方面,如对卡特尔协议和行政垄断的查处,而对滥用市场支配地位行为的查处案件则尽量做到“打有把握之战”。在现有的地方授权安排下,可通过选择垄断案件类型的最优组合进行执法,以尽可能避免执法误差。长远来讲,还是应当回归中央集中执法,从根本上避免忽略监管误差“跨区域社会成本”的现象。
七、降低中国反垄断监管系统性误差的几项重要认识
1. 福利标准模糊导致监管误差
各国反垄断监管在判定经营者行为是否违法时,一般明确采用消费者福利标准或者社会总福利标准。消费者福利标准旨在促进消费者整体福利,而在社会总福利标准下,监管机构必须评估经营者行为对消费者剩余和厂商剩余之和的影响。美国、欧盟、日本等发达国家采用的大多是消费者福利标准,少数国家如加拿大等采用的是社会总福利标准。
反垄断法对福利标准的设定,不仅体现立法者的立法理念,而且还直接影响个案中对反竞争行为的判定。以经营者集中评估为例,假如一起横向企业兼并产生规模效应给社会带来成本节约,但合并后价格上升会带来消费者福利损失,如果前者大于后者,这项兼并的整体社会福利净效果则是正的。在这种情形下,这起兼并在消费者福利标准下是反竞争的,而在总福利标准下是促进竞争的,所以福利标准的选定并非是反垄断监管的一个技术环节,其直接决定了对经营者行为合法性的认定。
大部分经济学家都倾向于采用社会总福利标准(Bergman et al.,2010) 。根据著名的威廉姆逊权衡,判定横向经营者集中对社会是否有利,就是要看其所带来的效率的提高(包括固定成本节约等) 是否大于集中所可能带来的消费者福利的降低。根据总福利标准,降低消费者福利水平的集中也可能是有利于社会的,只要厂商福利的增加大于消费者福利的减少,所以消费者福利标准比总福利标准更加严格。
但是中国《反垄断法》没有明确阐明其福利标准。在中国《反垄断法》的语境下,判定经营者行为是否违法,就是看其是否“排除、限制竞争”。现有法律的相关规定、行政处罚书和法院判决书都没有将“排除、限制竞争”这一法律语言转换成可度量的福利标准的经济学语言?!斗绰⒍戏ā纷茉虻?条开宗明义: “为了预防和制止垄断行为,保护市场公平竞争,提高经济运行效率,维护消费者利益和社会公共利益,促进社会主义市场经济健康发展,制定本法。”其中虽然提到“效率”一词,但同时也提到消费者利益。在过去14年的反垄断执法中,立法机关对《反垄断法》采用什么样的福利标准没有做出明确的解释,直到最近的阿里巴巴集团网络平台服务“二选一”行为案中,国家市场监督管理总局反垄断局在其行政处罚决定书中明确指出,当事人行为“排除、限制了相关市场竞争,损害了平台内经营者和消费者的利益”,“从长远看会对社会总福利水平带来潜在损害”。① 执法机构第1次在处罚书中正式使用社会总福利概念,尽管是在法律实施了近13年之时,仍然是中国反垄断科学监管发展的一个可喜的标志。没有明确的福利标准,执法机构和法院在不同案子中可能做出不一致的监管决策。即便在判定一个给定的经营者行为时,监管者也不能很明确地按照某一个福利标准来开展其案件调查、组织竞争评估思路和表述其最终判定决策的根据。在这种情形下,监管误差社会成本将很难达到最小化。本文建议,正在进行的《反垄断法》修法亟须解决的重要问题之一是明确相关福利标准,从而为《反垄断法》科学监管奠定基础。
另外,经营者行为对消费者福利或者社会总福利的影响是相对于反事实状态而言的。反事实状态是指企业行为未发生时市场竞争本应达到的状态。它与涉案行为发生之前的市场状态是不同的概念,是未发生且永远不会发生的状态,而涉案行为发生之前的市场状态是已经发生过的状态。过去14年间,中国反垄断监管机构有时(无意识地) 从时间维度来判断企业行为的竞争属性。反垄断评估应当以反事实状态为基准,将观测到的市场竞争状况与反事实状态进行比较,以界定企业行为的竞争效果。为避免和减少系统性的监管误差,中国反垄断监管应当更加注重反事实状态概念,在竞争评估时明确和系统地采用反事实思维方法。
2. 反垄断?;ふ逑颜叨歉鎏逑颜?/p>
反垄断法旨在?;な谐【赫?#xff0c;保障市场机制正常运转,以实现其资源最优配置的功能。在正常的市场竞争中,优胜劣汰,效率更高、能提供更加符合消费者偏好、质量更高或价格更低的产品的经营者市场份额不断扩大。这必然伴随着在竞争中落后的经营者的市场份额不断缩小,乃至其营业收入不能弥补其必要的生产和营运成本,尽管这些经营者也许仍然有忠诚的消费者。退出市场的竞争者的那部分消费者,常常也是竞争的受害者,如在汽车问世后被淘汰掉的喜欢马车服务的那部分乘客,或者是高铁高速发展后对(短途) 航空带来的挤压效应减少了航班频率,影响了偏好航空服务的那部分消费者。市场竞争,包括创新,从来不能保证所有的消费者都能够受益。在竞争法语境下,只要经营者行为能够提高整体消费者福利,该行为就是促进竞争的; 反之,如果经营者行为损害了消费者整体福利(不是仅仅某些个体消费者利益) ,该行为就排除、限制了竞争。
在具体个案中,中国的《消费者权益?;しā繁;じ鎏逑颜?#xff0c;以防止消费者遭受经营者欺诈、误导行为、其他损害消费者合法权益行为的伤害。在数字经济时代,个体消费者面对规模巨大的平台供应商更加处于弱势群体,市场中海量数据及更加严重的信息不对称降低了经营者误导、欺诈消费者的成本,或致使经营者过分搜集和滥用消费者数据。此类影响市场秩序的行为应当是其他相关法律(如《消费者权益?;しā贰兜缱由涛穹ā贰斗床徽本赫ā?#xff0c;以及《个人信息?;しā返? 监管的对象。
《反垄断法》与上述相关法律具有互补性而非替代性关系。如果将《反垄断法》用于保护在市场正常竞争中落后企业的个体消费者,则会导致本文前述的第一类监管误差,其结果可能是以牺牲整体消费者的福利为代价。反垄断不是万能的。用《反垄断法》来处理应该属于其他法律管辖的经营者行为,很可能削弱反垄断本来的功能,反而导致反垄断监管误差。
八、结论与政策启示
反垄断科学监管已纳入中国国家治理“顶层设计”范围,是中国建立高标准市场体系的根本要求。本文基于Easterbrook(1984) “误差—成本”理论,应用不确定情形下的决策理论分析框架,研究中国反垄断科学监管的真实涵义,探索中国当前反垄断监管的科学途径。
(1) 本文论述反垄断监管可能发生第一类误差(“假阳性”) 和第二类误差(“假阴性”) 的一般性原因,即竞争行为的两面性和经济科学的“有限性”,重点阐述监管误差带来的社会资源配置效率损失的社会成本概念。本文强调,反垄断监管误差往往具有非完备可观测性: 市场活动参与者、执法和司法机构以及学术界,未必能够准确了解和观察到执法误差的发生; 监管误差对市场竞争和资源配置会带来长期、持续的损害。本文认为,鉴于反垄断竞争评估面临不完备信息约束这一事实,反垄断科学监管应以追求监管误差社会成本极小化为政策目标。
(2) 本文使用决策理论最优化模型描述Easterbrook“误差—成本”理论,并在此基础上进行拓展。本文指出,由于在中国行政垄断仍然非常普遍,各种行业壁垒仍然存在等原因,Easterbrook 基于美国市场经济发展状况提炼出来的核心假设,即市场机制本身能够较好地抵消第二类监管误差的社会成本这一假设,不能直接适用于中国。这意味着,从整体讲,中国现阶段的反垄断监管不应事先差别对待两类误差社会成本?;诖?#xff0c;本文推导出误差成本极小化监管力度的最优权衡条件,依此进一步得到其与相关重要参数之间的变化关系,并将此应用于新业态、创新型行业、金融服务反垄断等现实“热点”问题,得到如下政策启示: 新业态的反垄断最优监管力度要低于传统行业的最优监管力度; 市场进入障碍高的行业中的反垄断最优监管力度相对要高,对创新型行业,则必须更加注意防范第一类和第二类监管误差; 相反,对市场进入相对活跃的行业,反垄断最优监管力度相对较低。本文据此提出了一个基于实际市场进入观测信息的简单的“拇指规则”: 若相关市场中在近期(如2、3年内) 有活跃和成功的新竞争者进入市场,那么,该市场中的反垄断监管应该更加“包容审慎”。这一简单易行的监管方法是建立在科学的决策理论分析之上的。针对中国近期强化反垄断、防止资本无序扩张的政策导向,本文还将经济学中有关竞争和系统性风险的理论与“误差—成本”极小化分析结合起来,为中国强化金融领域反垄断的政策提供了一个新的理论支撑。上述各项结果对中国强化平台经济反垄断应当具有重要的理论和政策价值。
(3) 本文也运用“误差—成本”极小化理论,分析目前正在北京市高级人民法院审理的葡萄糖酸钙原料药反垄断行政诉讼案(2021) ,并对该案中被告(国家市场监督管理总局) 、原告(涉案企业) 和法院三方提供启示。该案是中国反垄断史上第一个国家反垄断执法机构被涉案企业告上法庭的案例,法院的判定思路和结果将对中国反垄断执法和司法产生巨大和深远的影响。基于“误差—成本”极小化的决策理论框架,对该案中实现科学监管具有参考作用。
(4) 针对中国自2019年开始实施的中央—地方授权式反垄断监管体系,本文构建了一个反垄断“地区型分散监管”博弈模型,首次引入反垄断监管误差的“跨区域社会成本”概念,即给定地方区域反垄断监管发生误差时导致的其临近市场中资源配置效率下降和社会福利损失。当一个地方反垄断监管出现“错杀”时,其关联区域市场中资源配置效率也会下降; 类似地,当一个地方监管出现“漏杀”时,相关反竞争行为给其他关联区域市场造成的社会福利损失也得不到纠正。博弈理论分析表明,当地区监管力度增加导致其跨区域误差社会成本上升(下降) 时,分地区监管模式会导致社会整体意义上的过度监管(监管不足) 。这一理论结果的政策启示是,国家中央执法机构应当充分了解分散监管模式下各级监管机构科学监管内在决策逻辑的规律和局限性,更加科学地平衡地方执法机构本地信息优势与局部监管“整体次优性”之间的矛盾。这一理论分析对中国在进一步推动全国统一市场进程中如何科学利用分散式执法模式,建立统一高效的执法机制,实施反垄断监管全国“一盘棋”,具有重要的政策启示: 应当加强国家层次的反垄断监管(“中央事权”) ,如将目前各省和直辖市的地方执法机构整合为多个“中央反垄断区域监管处”。从长远讲,中国反垄断科学监管体制的完善,应当回归和依赖国家层面的科学执法,而不宜走过度依赖分散执法的路径。
另外,本文建议,目前正在全国人民代表大会上进行的《反垄断法》修改工作,应当纠正延续近14年的福利标准模糊这一制度缺陷。为了减少执法误差,中国《反垄断法》修法应当阐明判定“排除、限制竞争”的福利标准是单纯的消费者福利标准,还是兼顾生产者剩余的社会总福利标准。自2008年中国《反垄断法》实施至今,执法和司法部门一直未明确阐述中国《反垄断法》采用的福利标准,中国学术界相关研究也甚为少见。由于消费者福利标准严于社会总福利标准,福利标准在反垄断个案中的应用直接影响对涉案企业行为的判定结果。因此,福利标准的模糊性必然导致系统性监管误差。厘清中国《反垄断法》的福利标准,是减少反垄断监管误差和提高监管的科学性的必要条件。
评论